Novos Critérios de Projeto
Altura Mínima de Bloco Sobre uma Estaca
Critério para o cálculo da altura mínima dos blocos sobre uma estaca, conforme a publicação "Estruturas de Concreto Armado, vol. 2, 2023, IBRACON e ABECE".
As opções possíveis são:
- Balanço do bloco:
- Calcula a altura útil com base em 75% do balanço do bloco:

- Dimensões do bloco em planta;
- Estima a altura útil a partir de 110% da dimensão do bloco e aplicando a equação de estimativa da altura útil definida no critério. Farante um valor mínimo associado a 44Ø, que é uma estimativa do comprimento de ancoragem do arranque do pilar:

- Diâmetro da estaca.
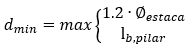
- Adota o maior valor entre 1.2 vezes o diâmetro da estaca e o comprimento de ancoragem do arranque do pilar:

Critério de Projeto
Para acessar este critério, no Gerenciador Estrutural, execute: "Sistemas" - "TQS Fundações" - "Editar" - "Critério" - "Blocos" - "Bloco 1 Estaca" - "Altura mínima de bloco sobre uma estaca" - selecione a opção desejada.
